LA TRILOGÍA: NÚMEROS, LETRAS Y MÚSICA:ESENCIA DE LA VIDA.Bienvenidos al fascinante mundo de las matemáticas. Este espacio es una extensión del aula de clase, en apoyo con el Tablero y el Grupo amigos de las matemáticas. En él se encuentran temas y enlaces sobre el área de la matemática e informes generales de los alumnos. Además en él encontrarás interesantes enlaces a los cuales puedes acceder sin necesidad de salirte del blog.
sábado, 25 de mayo de 2019
El juego del trueque
El juego del trueque:
Relacionando la economía con las matemáticas, este juego consiste en que cada alumno presenta el día que le corresponda su evaluación final correspondiente un pensemos o juego matemático resuelto (en hojas en blanco tamaño carta, con portada y el juego resuelto). Deberá entregárselo al docente que está aplicando la prueba. Quien quiera jugar a este juego, deberá escoger 3 puntos de la evaluación que quiera cambiar (No responder).
La condición para participar es que cada estudiante lo haga saber en este blog y en los comentarios de esta misma publicación, registrando su nombre y el grado.
En Economía también es válido este juego, pero aquí cada alumno presenta en trabajo escrito tipo informe la noticia económica que tiene que ver con el incremento salarial para los empleados estatales en el año 2019. El trabajo deberá ser presentado en hojas tamaño carta con portada. Resumen y conclusión personal sobre la noticia. Si cumple con las indicaciones dadas, podrá cambiar 2 puntos de la evaluación.
Prof. Éver Chalarca Bedoya.
Relacionando la economía con las matemáticas, este juego consiste en que cada alumno presenta el día que le corresponda su evaluación final correspondiente un pensemos o juego matemático resuelto (en hojas en blanco tamaño carta, con portada y el juego resuelto). Deberá entregárselo al docente que está aplicando la prueba. Quien quiera jugar a este juego, deberá escoger 3 puntos de la evaluación que quiera cambiar (No responder).
La condición para participar es que cada estudiante lo haga saber en este blog y en los comentarios de esta misma publicación, registrando su nombre y el grado.
En Economía también es válido este juego, pero aquí cada alumno presenta en trabajo escrito tipo informe la noticia económica que tiene que ver con el incremento salarial para los empleados estatales en el año 2019. El trabajo deberá ser presentado en hojas tamaño carta con portada. Resumen y conclusión personal sobre la noticia. Si cumple con las indicaciones dadas, podrá cambiar 2 puntos de la evaluación.
Prof. Éver Chalarca Bedoya.
Taller de repaso del segundo período
TALLER DE REPASO – GRADO 7,2
SEGUNDO PERÍODO 2019
1. Enuncie
cada una de las propiedades de la multiplicación (asociativa, conmutativa,
distributiva y
Modulativa) y de 2 ejemplos de cada una.
2. Dados
los productos 2 x 1 x 4 x 8 x 7, aplique la propiedad asociativa y conmutativa.
3. La expresión “Cualquier número entero
multiplicado por 1, da como resultado el mismo número entero”, corresponde a la
propiedad:
A. Modulativa de la multiplicación
B. Conmutativa de la multiplicación
C. Asociativa de la multiplicación
D. Distributiva de la multiplicación
4. Elimine
los paréntesis y resuelva:
1). – (18 – 32 + 2) + (12 + 4)
2). (15 – 23) – (11 + 9) - 50
5. Elimine los signos de agrupación y halle el resultado de:
1). {35+18- [40-15+20 (12-18)]}
2) - {35+18- [40-15+20+ (12-18)]} - 10
6. Escriba el conjunto de los números
enteros ≥ -2
7. Escriba el conjunto de los números enteros
≤ 6
8.
Escriba el conjunto de los números enteros ≤ - 2 y ≤- 6
9.
Represente en la recta numérica por separado los conjuntos numéricos de los
puntos 6, 7 y 8
10.
Escriba entre cada parejas de números, los signos
, =, según corresponda: La respuesta en la hoja
de
operaciones.
a. – 3 _____ 5
b. 8 ______ -10
c. 6 ______ - 6
d. 15 _____ 15
e. 0 ______ - 5
f. – 1 _____ 0
Lea
y resuelva los problemas planteados:
11. Si el papá de Leopoldo tiene una deuda de $
1.000.000 y al cabo de 1 año la deuda se le triplicó,
entonces tiene que pagar:
A. $ 3.000.000
B. $ 6.000.000
C. $ 5.000.000
D. $ 1.000.000
12.
La mamá de Juanita va a hacer mercado y tiene en su poder $ 200.000. Compra
carne por $ 50.000, arroz y frijol por $ 45.000, aceite y panela por
$ 35.000, frutas y verduras por $ 25.000 y pasajes del motorratón
$ 4.000. Además paga una cuota de $
35.000 en la cooperativa. ¿Cuánto dinero le queda a la mamá de
Juanita?
13. Un alpinista del Monte Éverest parte hacia
la cima desde una base que está a 4.000 m. El primer día
logra ascender 800
metros, al segundo día 300 metros y al tercer día por mal tiempo tiene que
retroceder
1.200 m. Al cuarto día sólo logra subir 100 m. Responda.
1).
¿Cuántos metros ascendió?
2).
¿Cuántos metros descendió?
3).
¿A qué altura de la montaña se encuentra al finalizar el cuarto día?
14. Resuelva aplicando las propiedades de las
potencias:
1). 24 x 23 x 22
2). (( 2 )2 )3
3). ((( 2 )2 )3 )0
4. 32
x 22 x 42
15. Determine el perímetro de las siguientes
figuras:
Prof. Éver Chalarca
Bedoya
Taller de repaso segundo período
TALLER
DE REPASO – GRADO 9, 1,2
SEGUNDO
PERÍODO 2019
1. Resuelva las
siguientes expresiones algebraicas con productos notables o casos de
factorización según sea el caso:
1). (4x – 7) (4x
- 7)
2). 169m10
– 78m5 + 9
3). 9y4
– 100:
4). 25x3
+ 15x2 – 10x
5). 3abx2
– 2y2 – 2x2 + 3aby2
6). x2
– 2x - 120
2. Al
resolver la inecuación – 12x + 15 ≥ -
13 – 2x, el valor de la x es:
A.
x
≥ 5
B.
x
≤ 1/5
C.
x
≥ 1/5
D.
x
≤ - 1/5
3. Expresa
la solución a la inecuación anterior por intervalo y por comprensión
4.
Dada la gráfica, exprese la solución por intervalo y por comprensión
5. Dado el conjunto por comprensión: A= : A= {x /x ∈R,-5≤x ≤ 1}
,
su representación por intervalo es:
v Sean las gráficas:.
6. El
intervalo ] ∞, 3 ] representa la
solución de:
A.
La
figura 1
B.
La
figura 2
C.
La
figura 3
D.
La
figura 4
7. El
intervalo ]5, ∞ [ representa la solución de:
A.
La
figura 1
B.
La
figura 2
C.
La
figura 3
D.
Ninguna
de las anteriores
8.
Exprese la solución numérica y por comprensión de cada una de las figuras o
gráficas dadas.
v Dados los problemas, plantee
una solución y resuélvalos
9. Una camioneta pesa 875 kg. La diferencia entre el peso de la camioneta
vacía y el peso de la carga que lleve no debe ser inferior que
415 kg. Si hay que cargar cuatro cajones iguales, el peso máximo que puede pesar cada uno de los
cajones para poderlos llevar en la camioneta es:
A.
115
kilos
B.
15
kilos
C.
100
kilos
D.
150
kilos
10. La microempresa de buñuelos de don Jacinto
cobra a sus acreedores $ 300 por cada buñuelo más un valor fijo de $ 200. La microempresa
de doña Pepa que le hace la competencia a don Jacinto cobre a $ 250 buñuelo más un valor fijo
de $ 300. ¿Cuántos buñuelos tiene que vender don Jacinto para obtener más dinero que la
competencia?
A.
-
35 x – ½ ˂ - 310 x + 4
B.
-
3/5 x – ½ ˂ - 3/10 + ¼
C.
- 3/5 x – ½
≤ 3/10 + ¼
D.
- 3/5 x – 2
≤ 3/10 + ¼
12. Al
resolver la inecuación 2 ≤ 4x - 20 ˂ 24,
se encuentra que su solución numérica, su
gráfica e intervalo es:
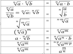
v Recordemos las propiedades de
los radicales:
Sean las siguientes operaciones de
suma y resta de radicales:
A. 3√12
B. √12
C. 3√3
D.
√3
15. Al
resolver la suma del literal d, su respuesta es:
A. ∛2
B. 4∛2
C. 2∛4
D. ∜2
16.
Resuelva la operación del literal e.
17.
Simplifique los radicales:
a. ∛(16 a^(4 ) ) b^6
b. √(8m^3 n^4 z^5 )
18.
Racionalice las siguientes fracciones:
1). (4√5)/√7
2). (∛2)/(∛128)
3. (3√6)/(√7-10)
1).
2).
3).
Prof. Éver Chalarca Bedoya
Taller de repaso segundo período
TALLER
DE REPASO – GRADO 10,1
SEGUNDO
PERÍODO 2019
11. Según la
gráfica, la figura que corresponde a una función biyectiva es:
A. Figura 1
B. Figura 2
C. Figura 3
D. Figuras 1 y 3
2 2. Según la gráfica del plano
cartesiano, corresponde a:
A.
Función
inyectiva
B.
Función
sobreyectiva
C.
Función
biyectiva
D.
Ninguna
3 3. Indique
el dominio Dm f(x) y el rango Ran f(x) de la gráfica.
44. .
Dada
la función
x2– 1/2, determine su dominio y su rango.
55. .
Tabule
y grafique la función y = x^2 + 3x -4
66. Una
función se puede expresar mediante.
A.
Expresión
algebraica
B.
Tabla
de valores
C.
Representación
gráfica
D.
Todas
las anteriores
7.
Grafique la función f(x) = 2x -3
8. Dada
la relación R= {(x,y) / x^2+ y^2=1}
,
su gráfica corresponde a:
A.
Una
línea recta
B. Una parábola
C. Una hipérbola
D.
Un círculo
9. La
parábola corresponde a una relación de la forma:
A. R= {(x,y) / x^2+ y^2=1}
B. R= {(x,y) / 2x+ y=1}
C. R= {(x,y) / 〖3x〗^2- y=1}
D. R= {(x,y) / x^2-3 y^2=1}
10. Si una rueda gira 10/4 π
rad en 4 segundos, entonces de cuántos grados
es su giro.
11. Dada
la figura, determine la longitud de arco S
en radianes
12. Un
círculo tiene un radio de 10 pulgadas y un ángulo central AOB hace el arco AB
de longitud 2 pies. Determine la medida en radianes del
ángulo AOB.
13. Expresar la medida en grados, minutos y
segundos de la gráfica dada.
14. El péndulo de un reloj mide 40 cm y en su
movimiento se desplaza
A cada lado vertical. ¿Cuál es la longitud de arco que
describe
15. Las circunferencias tangentes son la vista
lateral de tres rodillos. El rodillo con centro en C gira con una frecuencia de
960 rpm. Entonces su velocidad angular (
es:
A. 20.000 cm/min
B. 24.127 cm/min
C. 27.000 cm/min
D. 30.000 cm/min
16.
240 rpm equivalen a:
A. 240
rad
B. 120
rad
C. 480
rad
D. 600
rad
17.
Determine el largo de la escalera, de acuerdo a las medidas dadas.
18. Dado el triángulo
Determine
las relaciones trigonométricas que se dan.
Prof.
Éver Chalarca Bedoya
Suscribirse a:
Comentarios (Atom)











